SUNY Geneseo Department of Computer Science
Execution
Time of Bubble Sort, Part 2
{Date}
CSci 141, Spring 2005
Prof. Doug Baldwin
Return
to List of Lectures
Previous Lecture
Misc
Second hour exam is next Friday (April 1)
- Lists, their algorithms and analyses, related
structures
- Rules and format similar to first exam
Questions?
Algorithm Design and Analysis Example
Deriving worst-case execution time for bubble
sort
Had two recurrence relations
- Worst-case list messages for
findSmallestAndPutAtFront
- f(n) = 3 if n <= 1
- f(n) = 10 + f(n-1) if n > 1
- With closed form f(n) = 10n - 7
- With this, second recurrence gives worst-case
list messages for sort
- s(n) = 1 if n = 0
- s(n) = 10n - 5 + s(n-1) if n > 0
Mini-assignment: look for pattern, and
phrase in English
| n |
s(n) |
| 0 |
1 |
| 1 |
10*1 - 5 + s(0) = 5 + 1 = 6 |
| 2 |
10*2 - 5 + 10*1 - 5 + 1 |
| 3 |
10*3 - 5 + 10*2 - 5 + 10*1 - 5 + 1 = 10(3+2+1) - 5*3 + 1 |
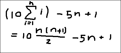
Patttern:
- 10 * (sum from 1 to n) - 5n + 1
- = 10 n (n+1) / 2 - 5n + 1
- = (10n2 + 10n)/2 - 5n + 1
- = 5n2 + 5n - 5n + 1
- or 5n2 + 1
![[Pattern for s(n) with "Sigma" Notation]](bblsum.gif)
Prove s(n) = 5n2 + 1 by induction on n
- Base case, n = 1
- s(1) = 6 f/ recurrence
- = 5 12 + 1
- Induction hypothesis s(k-1) = 5(k-1)2 + 1 for some k-1 >=
1
- Show s(k) = 5k2 + 1
- s(k) = 10k - 5 + s(k-1) f/ recurrence
- = 10k - 5 + 5(k-1)2 + 1 by induction hyp
- = 10k - 5 + 5(k2-2k+1) + 1
- = 10k - 5 + 5k2 - 10k + 5 + 1
- = 5k2 + 1
= Θ(n2)
Next
Stacks, a list-like structure
Motivation: a model for how recursion works
(and how it's really implemented in computers)
- Fibonacci numbers (each Fibonacci number
is the sum of the 2 previous ones, e.g.,
F(0) = F(1) = 1; F(2) = F(1)+F(0) = 1+1 = 2;
F(3) = F(2) + F(1) = 2 + 1 = 3; etc)
1: fib( n )
2: if n <= 1
3: return 1
4: else
5: prev1 = fib( n - 1 )
6: prev2 = fib( n - 2 )
7: return prev1 + prev2
- To execute this, need to keep track of
parameter, locals (prev1 and prev2), and
return point for each call. So....
- [Stack of cups to keep track of parameters, locals, etc. in evaluating fib(4)]
Read Section 12.2
Next Lecture