SUNY Geneseo Department of Computer Science
Performance of Insertion Sort
{Date}
CSci 240, Spring 2007
Prof. Doug Baldwin
Return to List of Lectures
Previous Lecture
Misc
Return hour exams
Lab 7 due tomorrow
Questions?
Analyzing Loops' Performance
Basic idea is to calculate the number of steps executed as
loop runs
This always means summing the number of steps executed in
each iteration over all the iterations
- If each iteration executes the same number of steps, this
simplifies to multiplying that number by the number of
iterations
Best and worst cases are often different
Example: Insertion Sort
insertionSort( array A )
for ( i = 1; i < A.length; i++ ) {
for ( j = i; j > 0 && A[j] < A[j-1]; j-- ) {
k = A[j-1];
A[j-1] = A[j];
A[j] = k;
}
}
- Asymptotically, how fast is this?
- Best case
- Outer loop runs for whole length of array
- If array already sorted, inner loop does one iteration to see that loop exits
- n outer iterations times 1 inner = n units of work
- = Θ(n)
- (n = A.length)
- Beware that best vs worst case should capture
effects on execution time other than input size
- Worst case
- Analysis 1
- Array of size n is unsorted
- Body of inner loop executes 3 instructions per iteration
- Outer loop executes inner loop once per iteration
- n iterations
- Therefore Θ(n2) execution time total
- Or...
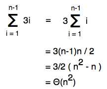
- Inner loop repeats i times
- So 3i steps per iteration of outer loop
Hand out Problem Set 10
Next
Quicksort, an algorithm that improves on the Θ(n2)
performance of insertion sort and selection sort
Read sections 10.1 and 10.2
- Main goal being to understand how Quicksort works, read
proofs for that purpose, not for their own sake
Hand out Lab 8
Next Lecture