SUNY Geneseo Department of Computer Science
CSci 242, Spring 2013
Prof. Doug Baldwin
Due Wednesday, February 6
Solve each of the following problems.
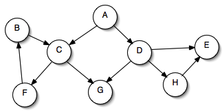
Carry out a depth first search on the following graph by hand, starting at vertex A. Show the timestamps computed for every vertex and the classification assigned to each edge.

Exercise 22-3.12 in the textbook. Explain why the algorithm you devise is correct (the explanation should be convincing, but needn’t be a completely rigorous proof).
Exercise 22.3-1 in the textbook, for directed graphs only.
I will grade this exercise in a face-to-face meeting with you. During this meeting I will look over your solutions, ask any questions I have about them, answer any questions you have, etc. Even though we will have a chance to talk about your solutions, please bring them in writing to the meeting—that will speed things along.
Each meeting should take about 15 minutes. Please schedule your meeting by signing up on the schedule sheet outside my office or electronically via Google calendar. If you work in a group on this exercise, the whole group can have a single meeting with me. Make sure that your meeting ends by the end of the day on the due date above.