Comprehensive but emphasizing material since 2nd hour
exam (e.g., Riemann sums, fundamental theorem, definite
integrals, substitution, integral applications, etc.)
Designed for 2 hours, you’ll have 3
Otherwise similar rules and format to hour exams, esp.
open references and computers
Donuts and cider
Review session
Study day (Tuesday, Dec. 9), 3:30 - 5:00 PM
Sturges 208A
Questions?
Integration by Substitution
Section 5.5
Using substitution method
Chain rule in reverse
If g(x) is differentiable and f(x) continuous, then
integral of f(g(x))g′(x)dx is integral of f(u) du
where u = g(x)
Good when function and its derivative are in integrand
Examples
Multiple choices of substitutions possible
Examples
Introducing a constant coefficient to make substitution
possible and compensating by later multiplying by its reciprocal
Applying substitutions to polynomials
A more complicated example
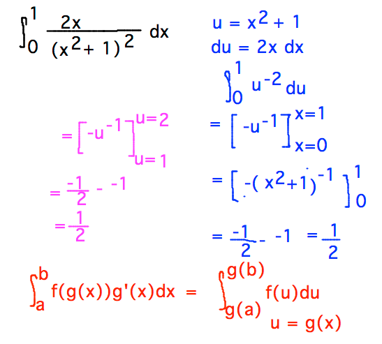
Substitution and definite integrals
Can either do substitution and then replace u with function of
x, as with indefinite integrals, or transform bounds of integration
to u
Computing Volumes by Integration
Divide volume into thin slices, then add up volumes of all
slices as Riemann sum aka definite integral
Next
More volumes via integration
Do the following:
Evaluate the integral for the pyramid (integral from 0 to 1 of
(2-2x)2)
Optionally, look up an actual formula for the volume of a
pyramid and see if it gives the same value the integral did