SUNY Geneseo Department of Mathematics

Problem Set 5—The Chain Rule

Math 221 10
Fall 2014
Prof. Doug Baldwin

Complete by Thursday, October 16
Grade by Wednesday, October 22

Purpose

This lesson develops your understanding of the chain rule and implicit differentiation.

Background

This exercise is mainly based on material in in sections 3.6 (“The Chain Rule”) and 3.7 (“Implicit Differentiation”) of our textbook. We covered (or will cover) this material in classes between approximately October 2 and October 10.

Activity

Solve each of the following problems:

Problem 1

Section 3.6, exercise 20 (Find dq/dr given that q = (2r - r2)1/3).

Problem 2

Section 3.6, exercise 42 (find dy/dt given that y = sec2t)).

Problem 3

Section 3.7, exercise 2 (Find dy/dx given that x3 + y3 = 18xy.)

Problem 4

Section 3.6, exercise 86 (Show that a particle with velocity ks has constant acceleration—read the full description of the exercise in the text; the description in this handout is only complete enough to let you find the right exercise in whatever edition you have).

Problem 5

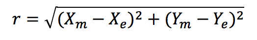
A simplified model of the orbits of Earth and Mars describes the two planets’s orbits as circles in the “ecliptic plane,” i.e., the plane in which Earth orbits the sun. Relative to a more or less arbitrary coordinate system in this plane, Earth’s position can be described as a set of points (XeYe) and Mars’s as a set of points (XmYm). The actual values of the coordinates are given by the equations

where t is the number of days since March 19, 2014. (This model actually does a fairly good job of describing the relative positions of Earth and Mars at the end of March and beginning of April 2014. It’s simple enough that it might not be terribly accurate today though.)

Finally, the distance between Earth and Mars is given by the Pythagoren Theorem:

sqrt( (Xm-Xe)^2 + (Ym-Ye)^2 )

Was the distance between Earth and Mars increasing or decreasing at t = 0 in this model (i.e., at the first instant of March 19, 2014)?

Follow-Up

I will grade this exercise in a face-to-face meeting with you. During this meeting I will look at your solution, ask you any questions I have about it, answer questions you have, etc. Please bring a written solution to the exercise to your meeting, as that will speed the process along.

Sign up for a meeting via Google calendar. If you worked in a group on this exercise, the whole group should schedule a single meeting with me. Please make the meeting 15 minutes long, and schedule it to finish before the end of the “Grade By” date above.