Purpose
This lesson reinforces your understanding of the definite integral and its applications. This exercise also develops your ability to use substitutions to evaluate indefinite (and definite) integrals.
Background
This exercise is based on material in textbook sections 5.4 (“The Fundamental Theorem of Calculus”), 5.5 (“Indefinite Integrals and the Substitution Method”) and 5.6 (“Definite Integral Substitutions and the Area Between Curves”), and the early sections of chapter 6 (“Applications of Definite Integrals”). We covered (or will cover) this material in classes between approximately November 20 and December 8.
Activity
Solve each of the following problems. Note that I also hope to add a couple of extra credit problems to this problem set in the last class meetings, depending on how many applications of definite integrals we are able to cover.
Problem 1
Section 5.4, exercise 8 (evaluate the definite integral from 1 to 32 of x-6/5).
Problem 2
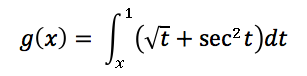
Part A.Before doing parts B or C, find g′(x), given that

Part B. You may not be used to seeing functions defined in terms of parameters used as bounds for integrals, as in Part A. To see that such definitions really are functions of a more familiar sort, evaluate the definite integral in Part A to get an equation for g(x) with no integral in it. (The equation will still define g as an expression involving x though.)
Part C. Differentiate the equation you found in Part B and verify that it gives the same result that you got in Part A.
Problem 3
Section 5.5, exercise 18 (evaluate the integral of 1/√(5s+4)).
Problem 4
Section 5.5, exercise 34 (evaluate the integral of (1/√t)cos((√t)+3)).
Problem 5
Section 5.6, exercise 2a (evaluate the integral from 0 to 1 of r√(1-r2) using the substitution formula for definite integrals).
Problem 6
Section 6.1, exercise 2 (find the volume of a solid whose diameter extends between two parabolas; see textbook for details.)
Problem 7
Section 6.1, exercise 16 (find the volume of a solid generated by revolving a triangular area around the y axis; see textbook for details.)
Follow-Up
I will grade this exercise in a face-to-face meeting with you. During this meeting I will look at your solution, ask you any questions I have about it, answer questions you have, etc. Please bring a written solution to the exercise to your meeting, as that will speed the process along.
Sign up for a meeting on the schedule outside my office or via Google calendar. If you worked in a group on this exercise, the whole group should schedule a single meeting with me. Please make the meeting half an hour (two blocks on the schedule) long, and schedule it to finish before the end of the “Grade By” date above.