Misc
Colloquium
Jamie Juul, Amherst College (faculty candidate).
Today (November 20), 4:00 PM, Newton 201.
“The Birthday Problem and a Problem in Arithmetic Dynamics”
Extra credit for writing a paragraph about connections you make to it, as usual.
Questions?
Area Between Curves
Section 6.1
The Basic Idea
Find the area between the graphs of y = x2 + 1 and y = -x2, between the lines x = -1 and x = 1.

Reading ideas: Subtract the area below the lower curve from the area below the upper one.

But the book also includes an absolute value in the integral, which handles the possibility that the curves cross. This matters, but means that it’s no longer quite right to say that this is just the difference of two integrals.

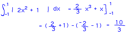
Apply this idea to x2+1 and -x2:

Now the function in the integrand is always positive, so we can remove the absolute value and find an antiderivative:

Curves that Cross
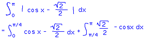
Find the area between the line y = √2/2 and the graph of y = cos x over the interval 0 ≤ x ≤ π.
Set up the integral the same way as before:

But this time the curves intersect at π/4, so the absolute value matters — it flips the sign of the integrand at x = π/4. Handle this by splitting the integral and negating the integrand in the second part:

And now the individual integrals can be evaluated in the usual way:

Take-Aways
The central idea in finding the area between curves is to integrate the difference of the relevant functions.
But beware that this difference must always be positive in order to get the correct positive area; formally this is described by integrating the absolute value of the difference, and practically by splitting the integral at points where the functions’ curves cross.
Next
Calculating volumes.
Read section 6.2 through “The Disk Method.”