Misc
SI Session
3-hour session tomorrow (Thursday).
5:00 - 8:00, Welles 131.
No SI Monday.
First Hour Exam
Next Monday, October 7, in class.
Covers material from problem sets 1 through 5 (i.e., the problem sets that will have been graded by the day of the exam).
You’ll have the whole class period.
Probably 3 to 5 short-answer questions, focusing on applying ideas from the course.
I’ll make some sample questions available.
Open book, open notes, open computer as a reference/calculator; closed person.
Questions?
Exponential Functions and Their Derivatives
“Derivative of the Exponential Function” in section 3.9
Key Idea(s)
Derivative of ex is ex.
Derivative of cx is (ln c) cx. (This wasn’t in the reading for today, we worked it out ourselves.)
An interesting idea, although not really “key”: book defines e as the number such that if function b(x) = ex, then b’(0) = 1.
Examples
Find the derivative of ex + 1
Take derivatives of both terms in the sum, using the differentiation rule for ex:

Find s’(t) if s(t) = et2-3t
Use the chain rule with the differentiation rule for ex (they can, like all rules, be used together):

Find the derivative of ueu.
This time, use the product rule with the rule for eu:

Antiderivative Rule
The antiderivative of ex is…

General Exponential Functions
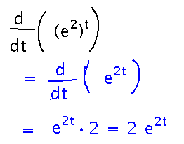
What is the derivative of (e2)t?
Use the algebraic rule of exponents that (ab)c = abc. Then use the chain rule:

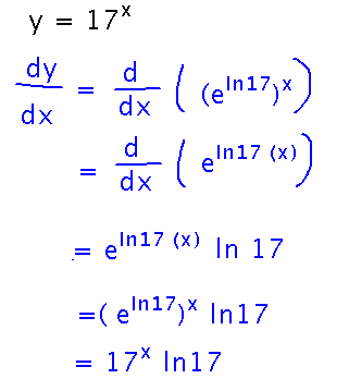
Can you express the number 17 as a power of e? What power? Why?
Yes, 17 = eln 17, because logarithms and exponentials are inverses of each other.
Def: ln x = the power you raise e to in order to get x. Similarly with logarithms to other bases.
e.g., ln (e2) = 2
log10 1000 = 3
Useful in solving equations where the variable is in an exponent, e.g., to solve ex = 7 take logs of both sides, to get x = ln 7.
What is dy/dx if y = 17x?
Write 17 as eln 17, then use the same algebra and chain rule we used for (e2)t:

What we did here generalizes, giving a rule for derivatives of exponential functions to any base.

Next
Ultimately, derivatives of logarithms. But they’re easiest to deal with as inverses of exponential functions, via a general way of finding derivatives of inverse functions. And that “general way” comes from something called “implicit differentiation.” So...
Implicit differentiation is next.
Read section 3.8.