Misc
SI today! 3:00 - 4:30, Fraser 104.
Questions?
Key Idea(s)
There are algebraic rules for simplifying integrals: sum & difference rules, constant multiple rule; and you can split a long interval into contiguous parts and evaluate an integral over the long interval as a sum of integrals over the parts.
Integrals can be negative as well as positive.
…So beware when using integrals for area and f(x) might be negative.
Mathematica can compute integrals, via the Integrate function
Properties of Integrals
(Particularly ones that help you avoid Riemann sums)
Area Formulas
Last time we saw that the integral from 0 to 3 of x is 4 1/2.
Is there a way to confirm this via area formulas from geometry?
Yes, realize that the area under the line y = x is a triangle, and use the triangle area formula:

Algebraic Properties
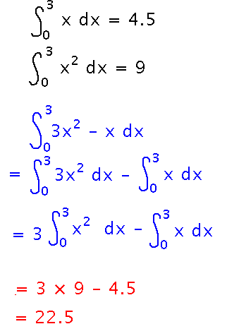
We have also figured out that the integral from 0 to 3 of x2 is 9.
What about the integral of 3x2 -x from 0 to 3? Use Example 5.11 as a guide to getting started, but continue past it by plugging in actual numbers for the integrals it leaves you with.
Use the difference and constant multiple rules:

Signed Area
What is the integral of x from -1 to 0?
It’s negative, which is unintuitive if you’ve been thinking of an integral as an area (areas are always positive). But it makes perfect sense in terms of a Riemann sum, because the f(xi) terms in such a sum will be negative wherever f is negative.

Moral: The Riemann sum is the official definition of “integral.” Where it and intuitive understandings (e.g., integral is area) conflict, the definition wins.
What about integrating x from -1 to 3? Asking for this as an integral leads to a different answer than asking for it as an area does, because of the possibility that integrals can be negative.

Integrals in Mathematica
The Integrate function computes them.
See this notebook for an example.
Next
The Fundamental Theorem of Calculus.
Read “The Mean Value Theorem for Integrals” and “Fundamental Theorem of Calculus Part 1: Integrals and Antiderivatives” in section 5.3.