Misc
Review session on Study Day, 12:00 - 1:00, South 328
No SI Monday (Nov. 25)
Questions?
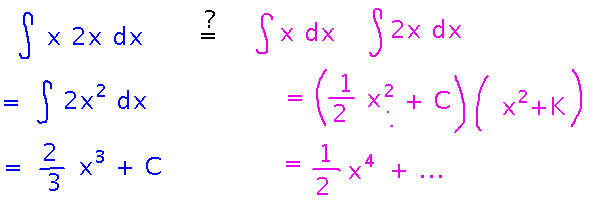
Is the integral of a product equal to the product of the integrals?

The gold standard in math for answering questions such as this is to have a proof. But there are other ways to at least start to get a sense, for instance to try the idea on an example. And if the example shows that the idea doesn’t hold, then it becomes a “counterexample” that proves the original idea false.
For instance, let’s try the possible equality between integrals of products and products of integrals on 2 simple functions whose product is easy to calculate:

Since the two ways of integrating produce clearly different results, it looks like integrals of products cannot be calculated by finding the product of two separate integrals.
To further confirm that, look at how sums of products and products of sums behave (which is relevant since definite integrals are Riemann sums):

Once again, the two ways of thinking about sum and product will generally have different values.
Similar thinking can be used in the problem set question about proving the sum rule for integrals, except that there you expect things to turn out equal. So the formal reasoning about sums is going to be most important, perhaps with an example to confirm it, whereas above it was the (counter)example that was most compelling and the formal reasoning was confirmation.
In that problem set question, you can recognize that the Riemann sum form of an integral “hides” the a and b bounds in things like Δx and the calculation of xi, and so drop explicit mention of a and b while working with sums and bring them back when switching back to integrals (in a completely rigorous proof it would be better to spell out Δx and xi in enough detail that a and b stay explicitly part of the equations throughout).

Integration by Substitution
Find the antiderivatives of sin(3x) / cos2(3x)
Start with the substitution u = 3x:

This leaves you with a slightly simpler integral, but still not one with an obvious antiderivative. So try substitution again:

Moral: sometimes it’s easiest to use a series of substitutions. (Though whenever you do this you could also do it all at once as a single big substitution.)
Find the antiderivatives of x(x+2)7. See example 5.33 as a model.
The “obvious” substitution to start with is u = x + 2, except that doing so leaves you with “x” lying around neither included in u nor du. But you can still write x in terms of u, namely x = u - 2. Doing that finishes the substitution:

Next
Substitution in definite integrals.
Read “Substitution for Definite Integrals” in section 5.5.