Misc
Differential Equations Experiment
Two students trying to measure whether a web animation they developed helps students learn differential equations.
Looking for volunteers who have taken calculus 1 (you count) but not differential equations (you still count) to participate in an experiment.
Either stop by South 347 in one of the following times
- Thurs. 3:00 - 5:00
- Fri. 12:00 - 3:00
- Fri. 4:00 - 6:00
- Mon. 12:00 - 2:30
or contact Sal Galarza or Jack Truckenmiller for more information.
Takes about 1 1/2 hours.
SI
Today, 3:00 - 4:30, Fraser 104
Last regular SI meeting
SOFIs
Thank you to the one person who has filled one out!
Others, please fill one out for this course, the feedback helps me with future courses.
Final Exam
A sample exam is available in Canvas, both without solutions and with solutions.
Wednesday, December 11, 8:00 - 11:20 AM, in our South Hall classroom.
Comprehensive, but concentrates on material since the second hour exam (problem sets 9 through 13, e.g., optimization, L’Hospital’s rule, summations, integrals, the Fundamental Theorem, areas, volumes, etc.)
Designed for about 2 hours, you’ll have 3 hours 20 minutes.
Rules and format otherwise similar to hour exams, especially open-references rules.
I’ll bring donuts and cider.
Review Sessions
3-hour SI next Monday (Dec. 9), 3:00 - 6:00, Fraser 104.
1 hour on study day (Tuesday, Dec. 10), 12:00 - 1:00, in our regular classroom. Bring questions or topics you want to go over.
Last Day for Grading
Wednesday, December 11 (i.e., final exam day).
Please turn in any extra credit you want counted in your grade by then.
Please also complete any late grading appointments by then.
Questions?
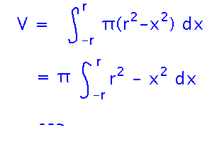
Problem set question re volume of sphere?
The goal is to use the slice method to derive the formula for the volume of a sphere. So you know the formula you’re working towards.
The first step is to find a way to divide the sphere into slices whose cross-section area you know (area because volume is then just area times thickness, which is dx in the eventual integral). Maybe vertical circular slices would work...

Now you need to work out the volume of the slice at distance x from the center of the sphere. The Pythagorean Theorem helps, because the distance x, the radius of the slice, y, and the radius r of the sphere are the sides and hypotenuse of a triangle.

Now that you have a formula for the volume of a slice, integrate it over all possible x values. In this case that’s -r (the left side of the sphere) to r (the right side).

Volumes by Slices
Section 6.2.
Key Idea(s)
Procedure
- Divide volume into thin shapes whose area you can calculate
- Theory: Sum area times thickness over interval that contains the volume, take limit as thickness approaches 0. This is the limit of a Riemann sum, leading to...
- Practice: Integrate areas over interval that contains the volume.
Example
Finish pyramid

Each slice has cross-section area (x/2)2. One way to integrate that is to use a u-substitution:

Or, that substitution might be overkill when you can just expand (x/2)2 and integrate directly:

But both methods produce the same answer, and whichever seems most natural to you is fine.
Next
Another slice example
Volumes of revolution
Maybe slices as “washers”
Read “The Disk Method” in section 6.2.