Misc
Next SI session is Wednesday.
Questions?
How do you know where the function in problem set question 2 is undefined?
Look at the function’s definition, and ask yourself how it could be undefined. Dividing by 0 when t = 0 is the only way:

Conversely, for part B, any t value other than 0 makes f(t) defined. For example f(1) = 8. And at all such values all the limit laws apply, so the limit of f(t) is also defined, and can be calculated by simply plugging the t value into the formula for f.
Simplifying Limit Expressions
A series of examples of classic algebra moves for simplifying limits.
Factoring
Find limx→3 (x-3) / (x2 - 9)
Plugging x = 3 into the expression in the limit gives 0/0. But the denominator is a difference of squares, which can be factored, leading to an expression that can be evaluated by the laws:

Why does this (and other simplifications) work? I claimed a week or so ago that factoring and canceling in particular produces a different function from the original, since the expression resulting from cancellation is defined at an x value where the original function isn’t defined.
But that new function is equal to the original everywhere except at the point where the original isn’t defined, and so must have the same limit as x approaches that point:

Multiply by a Conjugate
Find limx→2 ( √(x-1) - 1 ) / ( x - 2 )
It would be really nice to get rid of the square root in the numerator (just to make the whole limit easier to work with). One way to do that is multiply numerator and denominator by its “conjugate” — the same 2 terms, but with the opposite sign between them:

Once you do this, the numerator conveniently simplifies to x-2 and cancels with part of the denominator, leaving you with a limit you can evaluate by the limit laws:

Simplifying Fractions
Find limt→0 ( 3 / (1+t)2 - 3 / (1+t) ) / t
The first thing to do with this is make the fractions simpler.
One way to do that is to factor the common multiple 3/(1+t) out of the numerator:

Now put what’s left in the numerator over a common denominator:

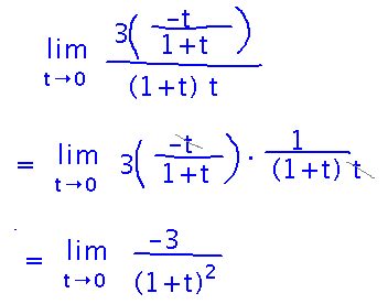
Now there’s a -t in the numerator that cancels with t in the denominator:

And finally you can apply limit laws without anything being undefined:

It’s probably a little simpler to start by getting a common denominator for the terms in the numerator. This was one of two ways to approach this problem we mentioned in class, but I chose the one above to see how it would work. Here’s the other way done out:

Now combine the denominators:

And finally you can cancel t’s and apply limit laws:

Next
We now have a pretty good set of tools for working with limits. Let’s go back and apply them to some variations on the limit idea.
Read the “One-Sided Limits” subsection of section 2.2 in the textbook and see how it approaches the problem.