Questions?
What to do with a sum that doesn’t start at 1, as in question 1 part B of problem set 8?
Use the property that a sum over a large range can be split into a sum of sums that collectively cover the entire range:

Properties of Integrals
Recall our calculation Monday that the integral from 0 to 2 of x3 is 4, and the book’s calculation that the integral from 0 to 2 of x2 is 8/3.
So what is the integral from 0 to 2 of x3 + x2?
Use the property that an integral of a sum (or difference) can be broken into a sum (or difference) of two integrals to evaluate this as two integrals we already know:

What about the integral of 5x3?
Another useful property: the integral of a constant times f(x) is the constant times the integral of f(x). Notice that this property, and the previous one, both come from the corresponding properties of sums and the fact that a definite integral really is a sum.

What do you suppose the integral from 2 to 0 of x3 is?
You can also analyze this in terms of integrals as sums. The key idea is that integrating from b to a instead of a to b changes the sign of Δx, and thus the sign of the integral:

What about the integral from 0 to 0 of x3?
If you integrate over an interval of length 0, Δx becomes 0, and so the integral is 0:

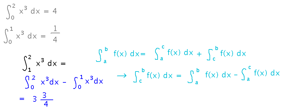
Fact: the integral from 0 to 1 of x3 is 1/4. What is the integral from 1 to 2 of x3?
Since sums over a range of values can be split into multiple sums that each cover part of the range, and integrals are sums, an integral over interval a to b can be split into a sum of integrals whose bounds collectively cover the interval a to b:

Riemann Sums in Surprising Places
Suppose you have a function f(x), and an interval of x values a ≤ x ≤ b. What’s the average value of f(x) over that interval?
If we had, say, 2 values of the function, we could calculate the average easily:

But this isn’t very accurate, because those 2 values likely miss lots of interesting peaks and dips in the function. So use more samples, say n of them, spaced some constant amount, say Δx, apart.

Now we can calculate Δx just like we did for calculating area. From that, we can express n in terms of Δx, and use that definition of n in the formula for the average:

And we can simplify this to not have a fraction in the denominator:

But now the numerator in the average is a Riemann sum! And in fact, the more samples of the function we have, i.e., the bigger n is, the more accurate the average. So to get an exact average, take the limit of the sum as n goes to infinity, and lo and behold the average turns out to be calculable as an integral:

Key Points
Integrals have algebraic properties.
Use those properties to avoid calculating Riemann sums.
We’ll see a lot of non-obvious places where Riemann sums, and thus definite integrals, turn up — average value of a function was just the first.
Next
The Fundamental Theorem of Calculus, Part 1.
Read the introduction, “The Mean Value Theorem for Integrals”, and “Fundamental Theorem of Calculus Part 1: Integrals and Antiderivatives” in section 5.3.