Misc
SOFIs
SOFIs have started!
Please fill them out. I do read them and apply the feedback where possible to future classes (like the mid-semester feedback).
SI
This afternoon, 3:00, Bailey 209.
Questions?
What is the distinction between the terms “antiderivative” and “integral”?
- Antiderivative of f: anything whose derivative is f
- (Definite) integral of f: limit of a Riemann sum of f(x) over a certain range of x values
- Indefinite integral of f: antiderivative of f
The Fundamental Theorem of Calculus, Part 2
Last part of section 5.3.
Example
Evaluate a definite integral.

What does this have to do with the reading?
According to the reading, you can evaluate definite integrals by finding an antiderivative of the integrand, evaluating it at the upper and lower bounds of the integral, and subtracting.

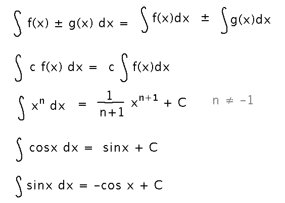
A Catalog of Antiderivative Rules
(Particularly useful now that antiderivatives let you evaluate definite integrals without working through a Riemann sum.)
Sum/Difference Rule

Constant Multiple Rule
![]()
Power Rule

Common Trigonometric Antiderivatives

...And here’s the whole table at once:

Note that similar but much bigger tables appear in the backs of textbooks, online, etc.
Another Fundamental Theorem Example

As with the first example, do this by simplifying the definite integral where you can and want to, then find antiderivatives, and finally evaluate them at the upper and lower bounds and subtract.
(Normally problems in this course won’t involve imaginary numbers, hopefully the imaginary part of this answer isn’t confusing. Elsewhere in this course, and particularly in sums, “i” is just an ordinary variable.)
Key Points
Process for evaluating a definite integral:
- Simplify the integral (optional)
- Find an antiderivative
- Evaluate the antiderivative at the upper and lower bounds of the integral and subtract
Antiderivative rules and using them.
Next
Suppose you wanted to find the antiderivatives of sin2x cosx. How would you do it? (Anti-hint: we don’t have a product rule for antiderivatives.)
Read section 5.5 on substitution.