SUNY Geneseo Department of Mathematics

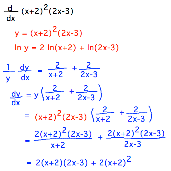
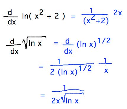
The Natural Logarithm

Thursday, January 22

Math 222 01
Spring 2015
Prof. Doug Baldwin

Return to List of Lectures

Previous Lecture

Next Lecture