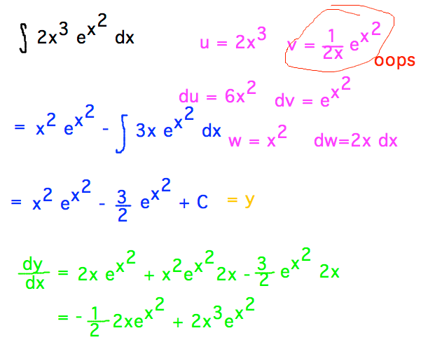
First idea doesn’t calculate v right, but does demonstrate
how to combine techniques (parts and substitution), and how to
check results by differentiating
Breaking 2x3 into 2x × x2 and
starting with substitution u = x2 leads to something
that can be integrated by parts