SUNY Geneseo Department of Mathematics

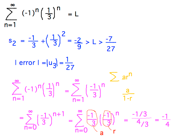
Alternating Series

Tuesday, April 7

Math 222 01
Spring 2015
Prof. Doug Baldwin

Return to List of Lectures

Previous Lecture

Next Lecture