Questions?
Multivariable Functions
Section 4.1.
Examples
A function of 2 variables that calculates their average.

Multivariable functions look a lot like single-variable ones, they just introduce more variables to represent the inputs. Applying those functions to concrete arguments also looks a lot like the single-variable case, but with more arguments.
A function of 2 variables, the lengths of the legs of a right triangle, that calculates the length of the hypotenuse.

A function of 3 variables representing the width, height, and depth of a box that calculates the volume of the box.
![]()
Multivariable function definitions scale up to more variables in the natural way.
A function of 6 variables, the coordinates of 2 points in space, that calculates the distance between the points.

Multivariable functions can have many variables, and they can be named in all the ways other variables are (e.g, with subscripts).
Sturges Auditorium
Field trip? Unfortunately, not available now. But imagine a large room shaped like a large tunnel that extends along the x axis.

Level curves
A level curve is a path in the xy plane along which f(x,y) doesn’t change.
So in this example, any straight line parallel to the x axis is a level curve.
Equations for the Ceiling
Suppose the room is 40 feet long (-20 ≤ x ≤ 20), 20 feet wide (-10 ≤ y ≤ 10), 20 feet high (0 ≤ z ≤ 20).
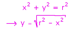
Assume the cross-section of the room is roughly a semicircle. The equation of a semicircle can be derived from that for a circle:

This provides an equation for the ceiling’s height in terms of y, by using the auditorium’s height as the radius, and scaling y so the height goes to 0 when y = ±10. Notice that x doesn’t play a role in determining height (z), but nonetheless defines bounds for the room. You can still think of height as a function of x and y.

(This is more an elliptical cross section than a perfectly circular one, but that’s OK.)
Plotting with Mathematica
The Plot3D function plots a 2-variable function. Here’s an example plotting the auditorium from above.
Key Points
What multivariable functions look like.
The concept of a level curve.
Plotting multivariable functions.
Next
First, a little more about plotting, particularly level curves and level surfaces.
Then limits of multivariable functions.
Especially finding limits and determining when they don’t exist.
Read section 4.2.