Misc
“Mid-Semester” Feedback
Simple questionnaire to return or not as you see fit.
Problem Set
On many recent topics, including extreme values, optimization w/ Lagrange multipliers, and multiple integrals.
See handout for details.
Questions?
Integration over General Regions
Section 5.2 and part of 5.4.
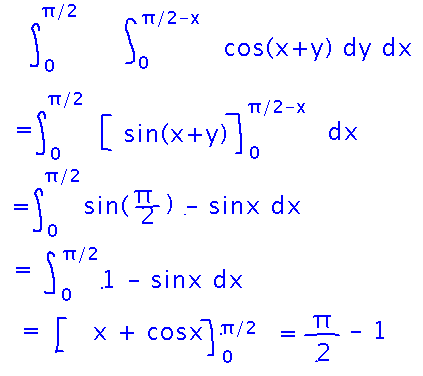
Cosine Example
Find the volume below the first half-cycle of z = cos(x+y) in the first octant

It’s helpful to think about exactly what part of the xy plane you want to integrate over:

Then you can capture that region in the bounds of integration by making bounds on inner integral(s) depend on the variables introduced by outer ones. In this case, for any given x value, y can range between 0 and π/2 - x:

Finally, integrate just as you always have, just plugging expressions rather than constants in for some bounds:

Key Point
The idea of setting some bounds on iterated integrals be expressions that depend on the variables from outer integrals.
Next
Another Example
Integrate z = xy - 4x + y3 over the region bounded on the left and right by the curves x = -(y2+1) and x = y2+1, and above and below by the lines y = 1 and y = -1.

If there’s time, look at using multiple integration to find the area of the xy region.