Material since start of semester (e.g., 3D coordinates and surfaces, vectors
and their products, lines, planes, vector-valued functions, their derivatives,
limits, integrals, arc length, muPad, etc.)
Whole class period
4 - 6 short-answer questions
Open references (book, notes, computer), closed person
Can use calculators, CASes, etc.
But tell me where you do
Questions?
Curvature
Section 13.4
T(s) = dr/ds; T(t) = v(t) / |v(t)|
k = | dT/ds |
Curvature = rate per unit length at which curve turns
k = 1/|v(t)| | dT/dt |
Principle unit normal vector (k ≠ 0)
N = 1/k dT/ds
= dT/dt / | dT/dt |
Circle of curvature
Tangent to curve at p
Same curvature as curve at p
Center lies on concave side of curve
Radius of curvature at p = 1/k
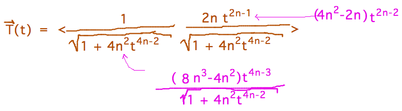
Example: do curves of the form y = x2n get more or less curved at x = 0
as n increases?
Outline for answering: find curvature as function of n, then look at dk/dn
Step 1: work out T(t)
Step 2: Use quotient rule etc. to find dT/dt, then find its magnitude
But notice that magitudes only need to be found numerically for t = 0, you
can save a lot of work by doing this rather than finding symbolic
magnitudes