Advice from math majors re course selection, summer experiences, etc.
Exam Solution
Gives general ideas if not concrete details for solving each problem.
See
https://docs.google.com/document/d/1jNb-mOjDSHtkqmQveOhjwm1pzfXct8q2zIyDmKrMiK4/edit
Comments, feedback, etc. welcome
Questions?
Curvature of parabola question?
Could do direct calculation of k
Or use formula for curvature of twice-differentiable function in exercise 5a
Limits of Multivariable Functions
lim(x,y)→(0,0)( 3x3 / (x3+y) )
Partial Derivatives
Section 14.3
Definition of partial derivative
Notations
Can apply to functions with more than 2 variables
Treat all variables other than one you differentitate with respect to as constants
e.g., in ∂f(x,y)/∂x treat y as constant
Function can have partial derivatives without being continuous
2nd order partial derivatives are derivatives of derivatives
Notations
∂2f/∂x2 or fxx
Similar for other variables
∂2f/(∂x∂y) differentiates wrt y first also
fyx
Mixed derivative theorem?
For suitably continuous functions, order of differentiation for second
derivatives doesn’t matter
∂f/(∂x∂y) = ∂f/(∂y∂x)
Increment theorem?
For a function with continuous derivatives, the change in a function’s
value near (x0,y0) is the change in x and/or y times the
corresponding derivative plus a correction factor that diminishes with
diminishing change in x, y
Differentiability implies continuity?
Definition of “differentiable” says function satisfies increment
theorem
This requires more than just that the partial derivatives exist
Examples
Find first partial derivatives of z = xy2 - y sinx
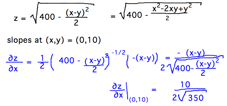
Find slopes of auditorium function (z = √( 400 - (x-y)2/2 ) ) in
x and y directions at (x,y) = (0,10)
Derivative with respect to y is similar, except with opposite sign
Slope in y direction is thus just the negative of slope in x direction