SUNY Geneseo Department of Mathematics

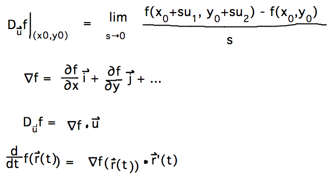
Gradients and Directional Derivatives

Thursday, March 10

Math 223 03
Spring 2016
Prof. Doug Baldwin

Return to List of Lectures

Previous Lecture

Next Lecture