SUNY Geneseo Department of Mathematics

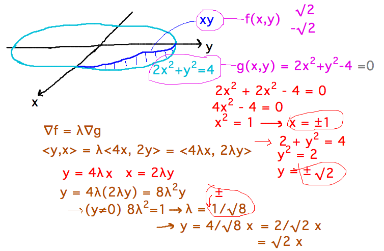
Optimization and Lagrange Multipliers

Tuesday, March 29

Math 223 03
Spring 2016
Prof. Doug Baldwin

Return to List of Lectures

Previous Lecture

Next Lecture