Questions?
Center of Mass Via Integration
Recall the Pyramid of Peril:

Friday we figured out that the mass is 4 g. Now I want to figure out the center of mass, i.e., the point that has to be positioned directly above the tip to keep the Pyramid in balance.

The key equation is that for moment about a plane or axis, basically a sum of masses weighted by distance from the reference plane/axis (or a sum of distances weighted by the mass at that distance). From moments about the xy, xz, and yz planes you can find the z, y, and x coordinates of the center of mass by dividing by mass.

The first step is to figure out the bounds of integration needed to integrate over the Pyramid’s volume. Find a variable in terms of which it’s easy to calculate bounds on the other variables for tracing out points in the volume. In this case, it’s easy to see that z ranges from 0 to 1, and that at each z value the slopes of the sides of the Pyramid mean that x and y will range between -z and +z.

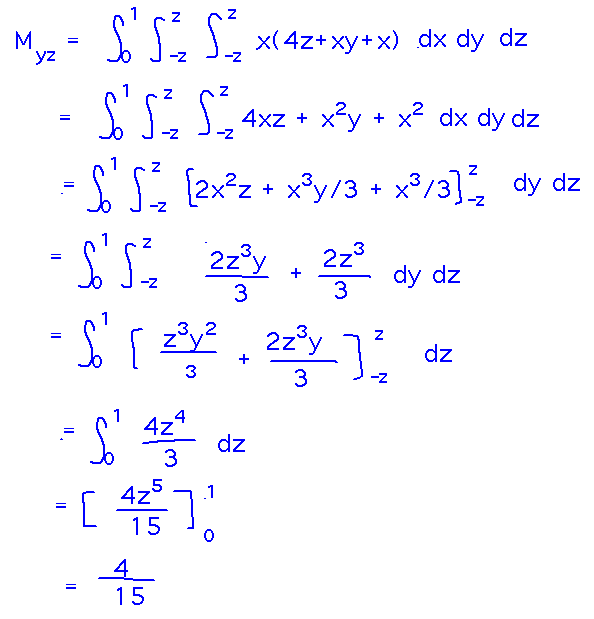
With the bounds in place, we can evaluate the integrals:

With this moment we can find the x coordinate for the center of mass.

And we can similarly work out the y and z coordinates for center of mass. But having done one of these integrals by hand, take the more realistic route of evaluating the others with muPad or a similar tool. For example, here’s how we could have done the x coordinate with muPad:

The final result is that the center of mass is at ( 1/15, 0, 4/5 ). So that’s the point that has to be directly above the Pyramid’s tip in order for the whole thing to balance. And we can even figure out what angle to rotate the Pyramid through to get there, namely tan-1( x / z ) = tan-1( 1/15 / 4/5 ).

Key Points
An example of multiple integration and a corresponding physical quantity.
Using muPad (or other technology) to solve such problems.
Next
Multivariable vector valued functions — vector fields.
Read section 6.1 through “Drawing a Vector Field” (top of page 640 through bottom of page 651).
Bring muPad.