Misc
Hour exam 1 is Thursday (Feb. 27).
Covers material since the beginning of the semester (e.g., 3D coordinates, lines/planes/surfaces, vectors, vector-valued functions, their derivatives and integrals, etc.)
3 - 5 short-answer questions, similar to mid-difficulty questions from problem sets.
You’ll have the whole class period.
Open book, notes, calculator, computer as a reference or calculator. But closed person.
Questions?
Curvature
Second half (roughly) of section 12.4.
Key Ideas
Curvature measures how fast a function is changing direction, i.e., how sharply its curve is turning.
Definition: curvature is the magnitude of the derivative of the unit tangent with respect to arc length.
Formulas for curvature.
Normal and binormal vectors.
Sanity Check
What should the curvature of a straight line be? And why?

Since a straight line doesn’t bend, the rate at which it’s bending must be 0.
Another way to understand curvature as a number is that curvature k is the rate at which a circle of radius 1/k bends:

Since radius would have to be infinite for a circle to be a straight line, the reciprocal is curvature 0.
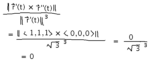
Is that what the curvature formulas give for r(t) = 〈 t, t, t 〉?
Try finding curvature using the ratio of magnitudes of T’ to r’:

You can also find curvature using the cross-product formula:

Both approaches agree with the informal analysis that the curvature is 0.
Example
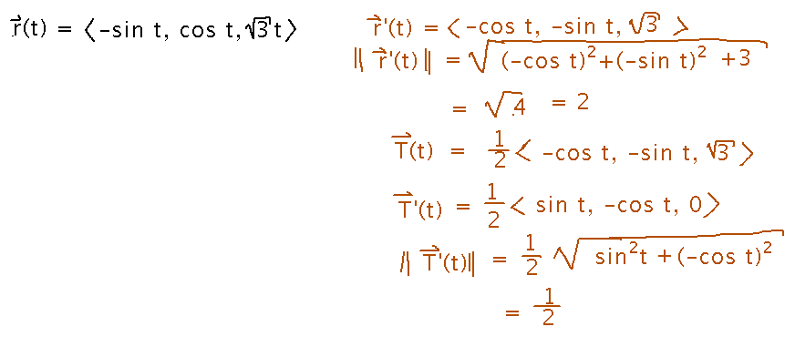
Suppose r(t) = ⟨ -sin t, cos t, √3 t ⟩.
What’s the curvature? How about the principal unit normal?
Start by finding some building-blocks that we’ll want almost no matter what formulas we use, namely r’, T, T’, and some magnitudes:

Now calculate curvature from the magnitudes of T’ and r’:

And calculate the principal unit normal from T’ and its magnitude:

Principal Unit Normal
As the name suggests, it’s normal, i.e., perpendicular, to the curve. But there is a whole circle’s worth of directions normal to a curve in 3 dimensions. Which one does the normal point in?

We’ll start with this next time.
Next
Curvature, principal unit normal, etc. as an excuse to try multi-step problem-solving with Mathematica.
Bring Mathematica to class!