Misc
Try out Canvas’s “Blackboard Collaborate” video tool for Wednesday’s class (notice it towards the bottom of Canvas’s navigation bar).
Questions?
Mathematica and Partial Derivatives
Mathematica’s D function does partial derivatives. With multiple variables, find a higher-order derivative with respect to the variables in the order listed. With a list of variables in double brackets, give a vector of derivatives.
See this notebook for examples.
Higher-Order Partial Derivatives
“Higher-Order Partial Derivatives” in section 13.3.
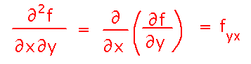
Warning: Our book consistently interprets the “∂-” notation for partial derivatives backwards from how everyone else does it: to everyone else, ∂2f/∂x∂y means ∂/∂x (∂f/∂y).

We will use the conventional notation (given above), not the book’s.
Key Points
Higher order derivatives are possible.
How to evaluate them and interpret the notation.
Derivative with respect to x and then y equals the derivative with respect to y and then x, as long as the second derivatives are continuous (Clairaut’s Theorem).
Example
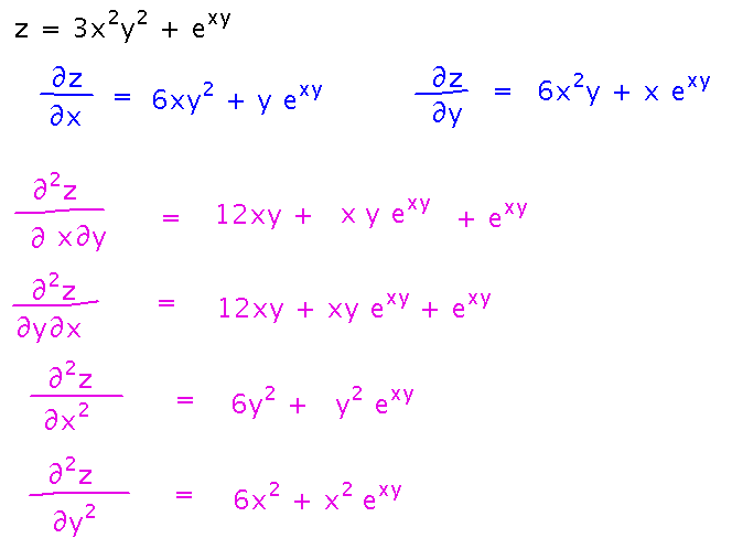
Find all the second-order derivatives of z = 3x2y2 + exy.
Start with the 2 first derivatives, then differentiate each of them with respect to each variable:

Does ∂3f/∂x2∂y make sense? Yes, it’s a 3rd derivative, the first derivative taken with respect to y, the second with respect to x, and the third with respect to x again.
Next
Tangent planes, etc.
Read section 13.4.