SUNY Geneseo Department of Mathematics
Wednesday, April 5
Math 230 02
Spring 2017
Prof. Doug Baldwin
“Structure and Symmetry: An Introduction to Lie Algebras and Representation Theory”
By Chad Magnum, Niagara University
Friday, April 7, 2:30 PM, Newton 203
Extra credit as usual for writing a paragraph or so about connections you make to the talk.
I’m experimenting with an email alternative to being called on in class: If you email me a summary of a day’s reading, video, etc. at least 15 minutes before class starts, and you come up on the random names list that day, I’ll take the summary from your email (anonymously) rather than calling on you.
But if I use random names to get discussion of an in-class problem started you could still get called on.
Next Wednesday, April 12
Covers material since first exam, e.g., if statements, while
and for loops, possibly algorithms we’ve studied such as Newton’s
method or numerical integration, etc.
Style and rules otherwise similar to first exam, especially open-references rule.
See sample exam in “Exam 2 Materials” folder under the “Files” tab in Canvas.
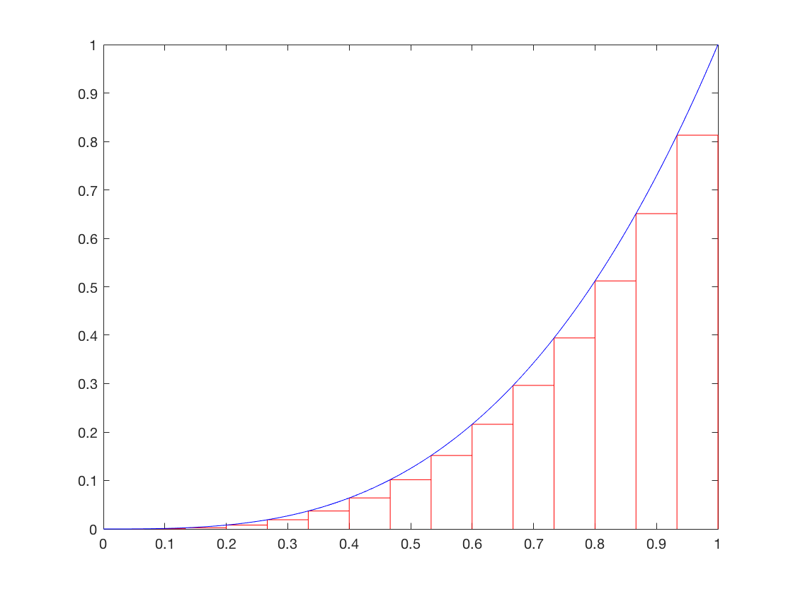
Demonstration of the kinds of graphics I want you to produce.
The versions of the Riemann sum and trapezoid functions that plot (step 2 in the lab) should produce outputs like this (from my Riemann sum solution; the trapezoid function draws a similar plot except with trapezoids instead of rectangles):

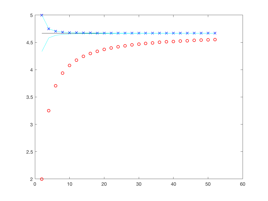
The comparison script (or function; step 3) should produce a plot somewhat like the following. The horizontal axis is the number of subintervals used, while the vertical axis is the estimated integral. Red circles are estimates from Riemann sums while blue crosses are from the trapezoid rule. The dark horizontal line is the actual value of the integral, while the light blue lines are the extra credit error bounds for the trapezoid rule, based on the formula given in the handout.

Friday. Lab day with Professor Farian.
Monday. Using Matlab’s debugger
Watch this video introduction: