Questions?
Proof by Induction
Formal Presentation
See how I formally wrote the proof about the sum of the first n natural numbers from Wednesday’s class.
Another Sum
Prove that 21 + 22 + ... + 2n = 2n+1 - 2.
Theorem: For all natural numbers n, 21 + 22 + ... + 2n = 2n+1 - 2 (Eq. 1).
Proof: We will use induction on n to prove that for all natural numbers n,
![]()
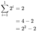
For the base case, we note that

For the induction step, we assume that k is a natural number such that
(Eq. 2)
and will show that
![]()
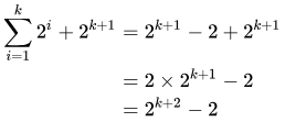
Adding 2k+1 to both sides of Eq. 2 yields

Finally, noting that
![]()
completes the induction step.
Since we have now shown that Eq. 1 holds for n = 1, and that when it holds for n = k it also holds for n = k+1, it follows by the principle of mathematical induction that Eq. 1 holds for all natural numbers. We have thus shown that for all natural numbers n, 21 + 22 + ... + 2n = 2n+1 - 2. QED.
A Non-Sum Example
Theorem 3.28, part 3: for all integers a and b, and all natural numbers n and m, if a ≡ b (mod n), then am ≡ bm (mod n).
Proof: We will use induction on m to prove that for all integers a and b, and all natural numbers n and m, if a ≡ b (mod n), then am ≡ bm (mod n).
For the base case, note that a1 = a, b1 = b, and a ≡ b (mod n), so a1 ≡ b1 (mod n).
For the induction step, assume that k is a natural number such that ak ≡ bk (mod n). We then show that ak+1 ≡ bk+1 (mod n). Notice that ak+1 = a ak, bk+1 =b bk, and that a ≡ b (mod n) and ak ≡ bk (mod n). Therefore by Theorem 3.28 part 2, ak+1 ≡ bk+1 (mod n).
We have now shown that a1 ≡ b1 (mod n) and that for any natural number k, if ak ≡ bk (mod n) then ak+1 ≡ bk+1 (mod n). It therefore follows by the principle of mathematical induction that for all integers a and b, and all natural numbers n and m, if a ≡ b (mod n), then am ≡ bm (mod n). QED.
Key Points
Induction proofs extend the “template” structure for a formal proof:
- Say at the beginning that you’re using proof by induction, and what variable you’ll do induction on.
- The body of the proof has two distinct parts, the base case and the induction step; be sure both are clearly identified.
- The induction part should start with a statement of the induction hypothesis (i.e., that the theorem is true of some natural number k) and what you will prove from it (i.e., that the theorem is true of k+1).
Look for a way to use the induction hypothesis early in the induction step.
Next
Extensions to the basic principle of mathematical induction.
Read section 4.2.