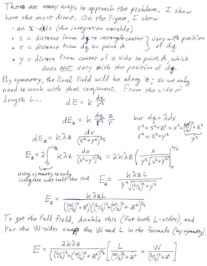
Requested Solutions, Homework 6

Empty boxes have been requested, and will be posted soon.

18

An alternative method: