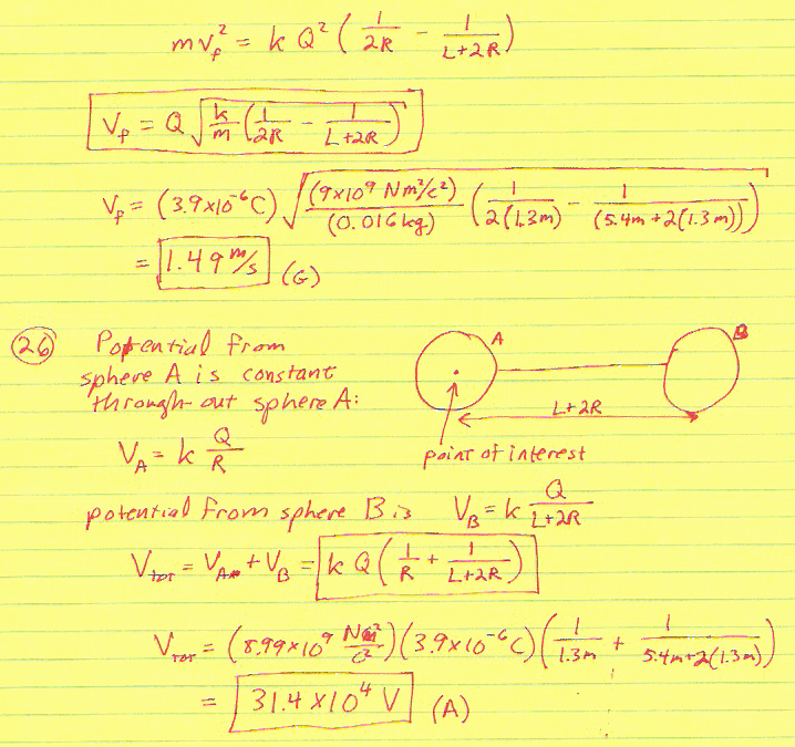
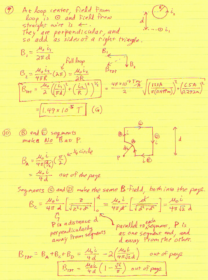
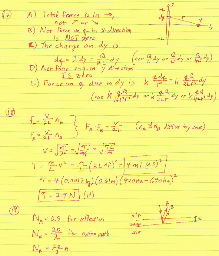
final p1 final p2 final p3 final p4 final p5 final p6 final p6a final p6b final p7 final p8 final p9 final p10