Material on derivatives since first exam (e.g., chain rule,
implicit differentiation, related rates, extreme values, Mean
Value Theorem, optimization, etc.)
Rules and format similar to first hour exam
Including open book, notes, references
But probably slightly more questions (7 - 9), and slightly
harder questions e.g., more word problems
Questions?
Graph Sketching
g(x) = x2 + sinx
g′(x) = 2x + cosx
= 0 at x = -0.4502, at most one minimum/maximum
g′′(x) = 2 - sinx
> 0, so graph is concave up, x = -0.4502 is location of minimum
Function values?
g(0) = 0
Minimum g = -0.23....
Asymptotic behavior?
As x gets very positive or very negative -1 ≤ sinx ≤ 1
but x2 grows without bound
Estimated shape of curve:
What interval to plot over?
Should include minimum, and wide enough range of x values to
see at least one cycle of sine
Optimization problems basically involve finding maxima or minima
Steps to solve optimization problems
Read problem
Draw picture
Introduce variables
Write equation for unknown(s)
Test critical points and endpoints
Examples
Physics
Economics
Examples
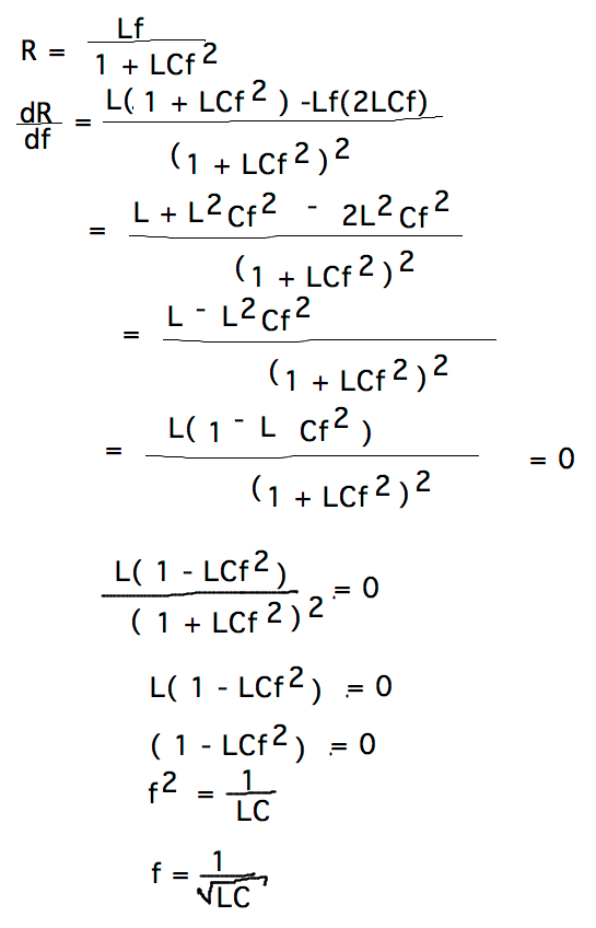
Radios, televisions, etc. are tuned to a particular station by an
electrical circuit whose resistance (R) depends on the
frequency (f) of the radio wave according to the formula
R = (Lf) / (1 + LCf2)
L and C are parameters of the tuner (and hide some
constants of proportionality in some versions of the formula).
What is the frequency at which resistance is highest for fixed L and C?
Find dR/df (remembering that L and C are constant)
Find critical points (dR/df = 0)
Do manufacturers of buckets actually use dimensions that
come close to minimizing the amount of material needed to
make the bucket?
Bucket = cylinder
Surface area proportional to amount of plastic and cost
= 2πrh + πr2
This has 2 variables, we want only 1
So rewrite h in terms of V (a constant for each bucket) and r