Do manufacturers of buckets actually use dimensions that
come close to minimizing the amount of material needed to
make the bucket?
Bucket = cylinder
Surface area proportional to amount of plastic and cost
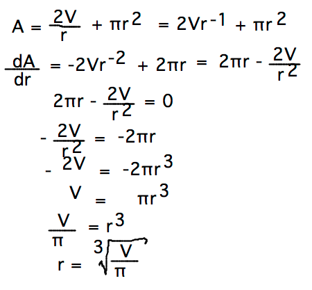
= 2πrh + πr2
Volume V = πr2h gives
h = V/(πr2)
So A = 2πrV/(πr2) + πr2
= 2V/r + πr2
Optimal r = (V/π)1/3
V = 2.5 gallons = 577.5 cubic inches
> V = 2.5 * 231
> V
[1] 577.5
> r = (V/pi)^(1/3)
> r
[1] 5.685919
> h = V / (pi*r^2)
> h
[1] 5.685919
Optimal r = 5.68, h = 5.68
Actual r = 4.5, h = 10
Optimal route for getting lawn mower back to shed.
Differentiate equation for time and find x that makes it 0
Time for this x is less than times at endpoints of x interval,
so optimal route crosses lawn to point 57.7 feet from end of driveway
and then follows driveway
Next
Introduction to antiderivatives aka integrals
Formalities
Notation
Rules (I added 2 re trigonometric antiderivatives that we didn’t mention in class)