I’m out of town second part of next week (Wednesday afternoon on)
Working on a guest lecture for class that day
Colloquium
“An Elementary Construction of Tessellated Surfaces”
Jonathan Pakianathan
University of Rochester
Monday, March 2, 4:00 - 5:00, Newton 201
Extra credit for summaries
Exam 1
Next Tuesday (March 3)
Material since start of semester (e.g., ln and ex,
L’Hôpital’s Rule, inverse trig functions,
hyperbolic functions, integration by parts, integration via
trig substitution, partial fractions, numeric integration,
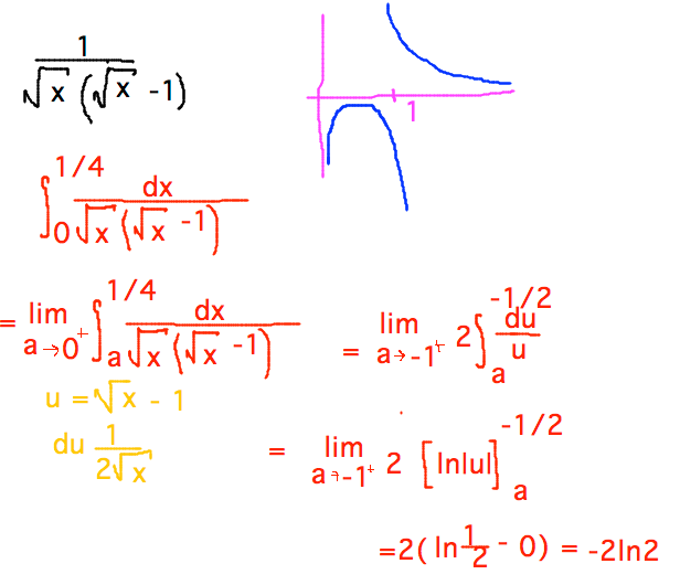
improper integrals)
4 - 6 short-answer questions, similar to problem set questions
Whole class period
Open book, notes, computer for reference; closed person, no CASes
Questions?
Polynomial division / synthetic division?
Simpson’s rule vs trapezoid rule
Area under curve = sub-interval size times weighted sum of y values