SUNY Geneseo Department of Mathematics

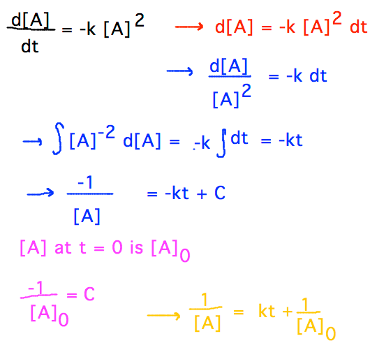
Separable Differential Equations

Wednesday, March 4

Math 222 01
Spring 2015
Prof. Doug Baldwin

Return to List of Lectures

Previous Lecture

Next Lecture