SUNY Geneseo Department of Mathematics

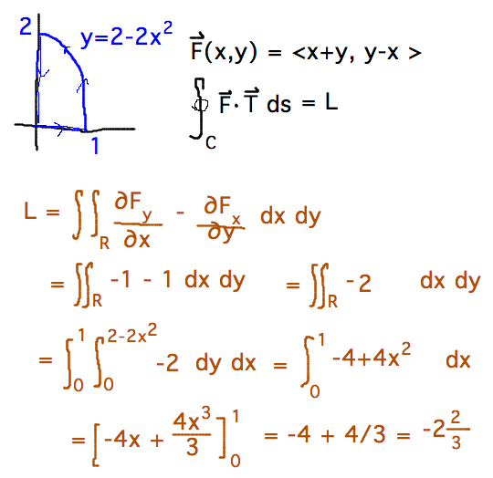
Using Green’s Theorem

Wednesday, December 9

Math 223 03
Fall 2015
Prof. Doug Baldwin

Return to List of Lectures

Previous Lecture

Next Lecture