Helpful to me in teaching this (or other) courses in future
Access through myGeneseo/KnightWeb
Final
Dec. 17 (Thursday), 8:00 AM, usual classroom
Comprehensive but emphasizing material since 2nd hour exam (e.g.,
multiple integrals, line integrals, vector fields, conservative vector fields,
Green’s Theorem, etc.)
Rules and format similar to hour exams, especially open references
Except designed for 2 hours, you have 3
Donuts and cider
Questions?
Green’s Theorem Examples
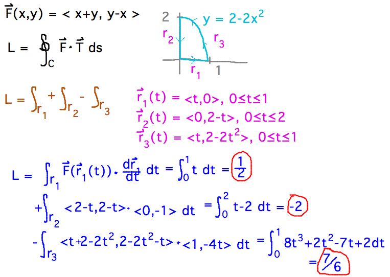
Integrate field F(x,y) = 〈 x+y, y-x 〉 around curve defined by
y = 2 - 2x2, x = 0, y = 0 by directly integrating line
integral (should get -2 2/3)
Find flux of F across the curve
Integrate F(x,y) = 〈y, -x 〉 along half-circle x2
+ y2 = 1 from (1,0) to (-1,0)
Trick question! Green’s Theorem doesn’t apply to non-closed curve
How to tell when to use which form of Green’s Theorem?
Curl form best for integrating components of field parallel to
path, divergence for integrating components perpendicular to path
But this begs the question of how you know what components of the
field you’re interested in, and for that you often need additional
knowledge of the thing being modeled by the integral
Divergence and Curl
Curl of any gradient field = 〈0,0,0〉
This is where component test for a conservative field comes from