(Day of student research talks, art exhibits/performances, etc.)
Tuesday, April 19
No class(es)
Extra credit (up to 2 problem set points per summary) for math session summaries
1 paragraph to 1 page discussing whatever connects the presentations in a
session to each other
At most 3 sessions per person for extra credit
Questions?
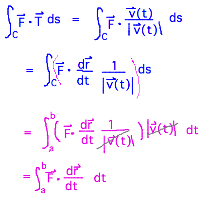
Line Integrals of Vector Fields
3rd and 4th parts of section 16.2
Tangent vector to parameterized path points “forward”
Line integral is integral of tangential component of field along curve
To evaluate:
Parameterize path
Plug parametric versions of x, y, z into field function
Integrate
Line integrals wrt dx, dy, dz
Can define vector with only 1 component in order to integrate wrt that variable
Arc length as a line integral
Questions
Are these and Tuesday’s scalar line integrals really the same thing?
Yes
How come vector field line integrals and integrals such as M(x,y,z) dx even get to
be the same chapter?
Book formula for sum of integrals of M dx, N dy, and P dz is really just the
integral of the dot product of F with derivative of r
So F dot dr and M dx + N dy + P dz are really just different notations for the
same line integral
Examples
F(x,y,z) = 〈 y, -x, z 〉, C: straight line from (-1,-1,-1) to (1,1,1)
Field spirals away from XY plane
Integrate force of gravity (= 〈0,0,-w〉 where w is your weight) over
spiral (r(t) = 〈 2cos(2πt), 2sin(2πt), 10t 〉) and zigzag
( r1(t) = 〈0,10t,5t〉, r2(t) =
〈0,10-10t,5+5t〉 ) staircases from Tuesday