SUNY Geneseo Department of Mathematics

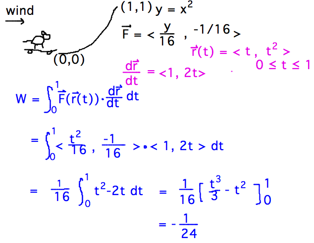
Using Line Integrals of Vector Fields

Wednesday, April 20

Math 223 03
Spring 2016
Prof. Doug Baldwin

Return to List of Lectures

Previous Lecture

Next Lecture